

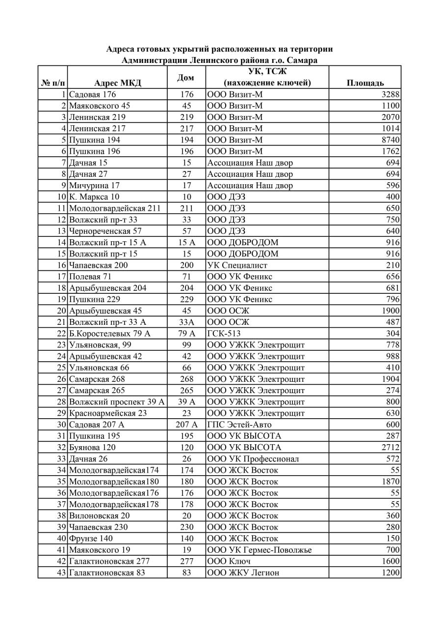
Опубликован список укрытий в Ленинском районе Самары
Администрация Ленинского района Самары опубликовала список укрытий.
✅️ ЧП Россия Сегодня! — НОВОСТИ, ЖЕСТЬ.
🛩 Следить за Радаром по всей РОССИИ!
Администрация Ленинского района Самары опубликовала список укрытий.
✅️ ЧП Россия Сегодня! — НОВОСТИ, ЖЕСТЬ.
🛩 Следить за Радаром по всей РОССИИ!
В свете текущей обстановки, когда вопросы безопасности приобретают особую актуальность, публикация списка укрытий администрацией Ленинского района Самары представляется важным и своевременным шагом. Этот документ, вероятно, содержит информацию о местонахождении и характеристиках сооружений, предназначенных для защиты населения в случае чрезвычайных ситуаций. К таким ситуациям могут относиться природные катаклизмы, техногенные аварии или другие угрозы, требующие оперативного реагирования и обеспечения безопасности граждан.
Публикация списка укрытий – это часть комплексной работы по гражданской обороне и защите населения. Она направлена на информирование жителей района о доступных средствах защиты и повышение их готовности к возможным угрозам. Важно понимать, что знание местоположения ближайшего укрытия, его вместимости и правил поведения в нем может спасти жизнь в критической ситуации.
Список укрытий, скорее всего, включает в себя различные типы сооружений: от простых подвальных помещений, приспособленных для временного укрытия, до более оборудованных убежищ, способных обеспечить защиту на длительный срок. В зависимости от типа укрытия, могут быть указаны такие параметры, как адрес, вместимость, наличие систем вентиляции, освещения, водоснабжения и санитарных узлов. Также, возможно, будут даны рекомендации по использованию укрытий, правилам поведения в них и перечню необходимых предметов, которые следует иметь при себе.
Информация об укрытиях может быть представлена в различных форматах. Это может быть текстовый документ, размещенный на официальном сайте администрации, интерактивная карта с указанием местоположения укрытий, или даже мобильное приложение, предоставляющее доступ к актуальной информации. Важно, чтобы информация была легко доступной, понятной и регулярно обновлялась с учетом текущих изменений и уточнений.
Помимо публикации списка, администрация, вероятно, проводит и другие мероприятия по обеспечению безопасности населения. Это может включать в себя организацию учений и тренировок, направленных на отработку действий в чрезвычайных ситуациях, распространение информационных материалов о правилах поведения при различных угрозах, а также контроль за состоянием укрытий и их готовностью к приему населения.
Важно отметить, что своевременное ознакомление с информацией об укрытиях и правилах поведения в чрезвычайных ситуациях является обязанностью каждого гражданина. Это позволяет повысить уровень личной безопасности и готовность к адекватному реагированию на потенциальные угрозы.
В контексте текущих событий, когда информационное пространство перенасыщено новостями различного характера, особенно важно обращать внимание на достоверные и проверенные источники информации. Публикация списка укрытий администрацией Ленинского района Самары – это официальный документ, который следует рассматривать как приоритетный источник информации о мерах безопасности, предпринимаемых местными властями.
✅️ ЧП Россия Сегодня! — НОВОСТИ, ЖЕСТЬ – это агрегатор новостей, который может содержать информацию о происшествиях, чрезвычайных ситуациях и других событиях, представляющих общественный интерес. Однако, важно критически оценивать информацию, получаемую из таких источников, и сопоставлять ее с данными, предоставляемыми официальными органами.
🛩 Следить за Радаром по всей РОССИИ! – вероятно, ссылка на ресурс, предоставляющий информацию о воздушной обстановке. Мониторинг радаров может быть полезен для отслеживания перемещения воздушных судов и оценки потенциальных угроз, связанных с воздушным пространством. Однако, следует помнить, что данные радаров могут быть подвержены различным ограничениям и не всегда отражают полную картину.
В заключение, публикация списка укрытий администрацией Ленинского района Самары – это важный шаг в обеспечении безопасности населения. Гражданам рекомендуется ознакомиться с этой информацией, изучить правила поведения в чрезвычайных ситуациях и быть готовыми к адекватному реагированию на возможные угрозы. Одновременно, следует критически относиться к информации, получаемой из неофициальных источников, и отдавать приоритет данным, предоставляемым официальными органами и службами.